e电商谁用过 :自然常数e是什么?
e (自然常数, 也称为欧拉数)是自然对数函数的底数. 它是一个无理数, 就是说小数点后面无穷无尽, 永不重复.
e≈2.7182818284590452353602874713526624977572470936999595749669676277240766303535475945713821785251664274274663919320030599218174135966290435729003342952605956307381323286279434907632338298807531952510190......
e 的来历与我们更熟知的两个无理数 Pi 和 √2 不同, 它不是由数学家由几何问题上发现而来的, 而是出自一个金融问题. 我们说 e 表示增长率和变化率的常数. 但是它为什么和增长率有关呢? 让我们回到来 17 世纪, 看看发现 e 的第一人:数学家雅各布·伯努利以及他所研究的相关问题. (下图为伯努利家族以及欧拉)

假设在银行存了 1 $ , 而银行提供的年利率是 100%, 也就是说 1 年后连本带息, 你会得到 2 块钱. 这个非常容易理解是吧?
那么现在假设半年就计算一次利息, 就是半年利率为 50% , 这种方案最终一年后的收益会不会比刚才更好一些呢? 计算如下过程: 年中计息一次总共是 1.5 $, 然后下半年连本带息年末就为 2.25 $:

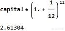
这样看来一年后共会获得 2.25 块钱. 恩, 看起来不错啊! 那现在计算利率周期如果再短一些会怎么呢? 再来假设每个月结算一次呢? 月利率为 1/12 , 最终得到大约 2.61304 块钱, 这个方案会又好一些.

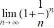
现在可以看出这样的规律, 利息的周期越短, 收益就更好. 那就让我们继续缩短计息的周期, 变为每周计算, 计息的次数就是 52 次 .

甚至可以计算天利率, 或者小时, 秒来计算. 当然年末所获得的钱亦会增多. 不过雅各布.伯努利发现随着 n 趋于无穷, 对于这样的连续复利存在着一个极限值, 这个数值其实就是 e:

也就是对于这个式子的极限值将是多少呢?

伯努利知道会是一个 2~ 3 直接的数, 但最终的的结果很可惜他并没有计算出来. 这个问题由 50 年后的莱昂哈德·欧拉借助下面的公式计算出来小数点后 18 位 2.718281828459045235...... 这就是描述增长率的自然常量 e 来历.

e 是无理数并且欧拉借助连分式的形式证明了 e 是一个无理数, 观察这个连分数的形式(最左侧) 1,1,4,1,1,6,1,1,8,1,1,10.... 也就是说这种能够一直被处下去的连分数, 那就意味着它是个无理数.

e 在微积分中性质e 是描述增长率的自然常量, 并且还是唯一具有下面性质的函数: 这个函数曲线上的每一个点的 y 值, 在该点的斜率和面积都是相同的. x =1 时, 函数值就等于 e. 斜率也是 e, 而曲线下的面积也是 e.

也正是因为这主要性质, 使得它成为了微积分的你最喜欢见到函数(微积分也正是描述变化率, 极限求和的数学). 所以当在微积分课程中, 凡是遇到 e 的计算, 计算会简单一些.
e 出现在最美数学公式 - 欧拉恒等式最后既然提到了 e , 通常会提到将所有著名的常数出现在同一个方程 - 欧拉恒等式(Euler's identity), e^(iπ)+1=0. 被誉为最美的数学公式. 这个曾在 [遇见数学] 回答过的问题中, 这里不再赘述. (完)
请各位老师和朋友们多多指正, 也欢迎点赞、转发! 关注 [遇见数学] 订阅更多数学资讯和图解文章!
相关文章
- 详细阅读
-
做产品宣传视频(产品宣传片制作)详细阅读
目前应该是有很多小伙伴对于做产品宣传视频方面的信息比较感兴趣,现在小编就收集了一些与产品宣传片制作相关的信息来分享给大家,感兴趣的小伙伴可以接着往下看...
2022-08-29 2093
-
制作宣传视频(制作宣传视频的请示)详细阅读
目前应该是有很多小伙伴对于制作宣传视频方面的信息比较感兴趣,现在小编就收集了一些与制作宣传视频的请示相关的信息来分享给大家,感兴趣的小伙伴可以接着往下...
2022-08-29 1695
-
直播营销方案(直播营销方案)详细阅读
目前应该是有很多小伙伴对于直播营销方案方面的信息比较感兴趣,现在小编就收集了一些与直播营销方案相关的信息来分享给大家,感兴趣的小伙伴可以接着往下看,希...
2022-08-29 1086
-
直播的营销方案(茶叶直播的营销方案)详细阅读
目前应该是有很多小伙伴对于直播的营销方案方面的信息比较感兴趣,现在小编就收集了一些与茶叶直播的营销方案相关的信息来分享给大家,感兴趣的小伙伴可以接着往...
2022-08-29 1070
-
招商宣传视频拍摄(招商宣传片视频拍摄服务)详细阅读
目前应该是有很多小伙伴对于招商宣传视频拍摄方面的信息比较感兴趣,现在小编就收集了一些与招商宣传片视频拍摄服务相关的信息来分享给大家,感兴趣的小伙伴可以...
2022-08-29 1027
-
长视频怎么制作(怎么制作长视频)详细阅读
目前应该是有很多小伙伴对于长视频怎么制作方面的信息比较感兴趣,现在小编就收集了一些与怎么制作长视频相关的信息来分享给大家,感兴趣的小伙伴可以接着往下看...
2022-08-29 1003
-
长视频怎么裁剪短(二十多分钟的视频怎么裁剪短)详细阅读
目前应该是有很多小伙伴对于长视频怎么裁剪短方面的信息比较感兴趣,现在小编就收集了一些与二十多分钟的视频怎么裁剪短相关的信息来分享给大家,感兴趣的小伙伴...
2022-08-29 1062

发表评论